ABSTRACT
Recent
research at Duke University demonstrates how topical vitamin C
(L-ascorbic acid) benefits skin. First, the Duke studies show how to
get large amounts of vitamin C into skin: the vitamin C must be in
the form of L-ascorbic acid at low pH. Once in the skin, additional
studies show that L-ascorbic acid has the following effects: it
stimulates collagen synthesis, provides photoprotection, stays in
skin for up to 72 hours, and prevents UV immunosuppression, a
reaction which occurs in more than 90% of skin cancer patients. For
reasons that aren’t entirely clear, sunscreens don’t fully protect
individuals against UV immunosuppression.
Topical
vitamin C (L-ascorbic acid) protects skin against and reduces
harmful effects caused by sunlight in both the UVB and UVA bands
(290-400 nm). Although topical vitamin C does not absorb light in
this range, and hence, is not a sunscreen, vitamin C (L-ascorbic
acid) exerts its effects by neutralizing reactive oxygen species,
the highly-reactive molecules produced when sunlight interacts with
cell membranes and other components of skin tissue. And, unlike
sunscreens, once vitamin C gets into skin, it can’t be washed,
rubbed, or perspired off.
Research shows
that topical vitamin C (L-ascorbic acid) is an excellent antioxidant
for skin protection and should be a useful adjunct to (but not
replacement for) sunscreens. Recent scientific findings also reveal
that it is the long UVAI (340-400 nm) rays that cause photoaging,
and no currently available sunscreen fully protects individuals from
all long UVA radiation.
L-ascorbic
acid is the only form of vitamin C that can be used by the body.
However, it is notoriously difficult to stabilize and tends to break
down rapidly, attributes that have prevented it from being used in
cosmetic preparations. In order to solve the stability problem, many
companies use derivatives of ascorbic acid, such as ascorbyl
palmitate or magnesium ascorbyl phosphate. Before the body can use
such derivatives, they must first get into skin and then be
converted to L-ascorbic acid, a process that researchers would
expect to be largely inefficient.
The L-ascorbic
acid formulation used in the Duke University research studies was
stable in a laboratory setting. However, it lacked the long-term
stability necessary for cosmetic use. Just recently, in an important
cosmetic breakthrough, a stabilized form of L-ascorbic acid at low
pH has been perfected for cosmetic use, and it is available now in
some skin care products.
This review
first summarizes the science supporting topical vitamin C
(L-ascorbic acid) skin care products. Then, it examines how sunlight
and other environmental factors affect skin and L-ascorbic levels in
skin. Finally, it highlights the differences between L-ascorbic acid
products and those containing derivatives of vitamin C, and explains
how to select vitamin C skin care products that
work.
back to
top
THE
SCIENCE
The
Physiology of Vitamin C
The body does
not synthesize Vitamin C (L-ascorbic acid). It must be provided in
the diet. Body stores are limited by control mechanisms which allow
a maximum of 1200 mg. to be absorbed daily. The half-life of vitamin
C is 10-20 days, so that after three weeks, in the absence of
further ingestion, vitamin C is mostly depleted. The minimum daily
requirement for vitamin C is 200 mg. (Levine et al., Proc Natl Acad.
Sci, 1996). Vitamin C is a major antioxidant in the body. In
addition, it is important in collagen synthesis. The only
form of vitamin C that the body can recognize and use is L-ascorbic
acid. In order to work, vitamin C must first penetrate the skin and
then be present in the active form, L-ascorbic acid. However, there
are two characteristics that make it difficult for L-ascorbic to be
able to be used by the skin. First, vitamin C inherently is an
unstable molecule at neutral pH. Second, the skin is typically a
good barrier, protecting outside substances from entering
skin.
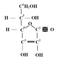
L-Ascorbic Acid is an Inherently Unstable
Molecule L-ascorbic acid is chemically defined as an
a-ketolactone with the following structure:
 Figure 1. Chemical Structure of the L-Ascorbic Acid
Molecule
L-ascorbic
acid is a moderately strong reducing agent. The number 2 and 3
carbons are double-bonded and contain an acid-ionizable hydrogen in
water (pK = 4.2). These properties, which lead to instability in the
L-ascorbic acid structure, are well known and have been burdensome
to pharmacologists when attempting to formulate active, stable
L-ascorbic acid solutions.
At neutral or
higher pH, as in most cosmetic formulations, L-ascorbic acid becomes
the notoriously unstable ascorbate anion. For these reasons, among
others, scientists have had difficulty formulating stable solutions
of L-ascorbic acid that would be beneficial for cosmetic,
dermatologic or opthalmic needs. Nevertheless, because or the many
beneficial effects attributed to L-ascorbic acid, numerous attempts
have been made to overcome these difficulties.
A
Stable, Topical Formulation of L-Ascorbic Acid Delivers More Vitamin
C into Skin Than is Possible by Diet.
After more
than a decade of research, scientists at Duke University have
developed a stable, aqueous formulation of L-ascorbic acid (vitamin
C), at acid pH-level (Darr and Pinnell, US patent 5,140,043, 1992).
They have proven how to get large amounts of vitamin C into the
skin, in levels that cannot be achieved by diet and are
pharmacological levels (Darr and Pinnell, US patent 5,140,043,
1992). Topical Vitamin C Can Be Targeted Directly to Skin
to Interfere with Oxidative Insults By providing pharmacological
levels of ascorbic acid which can be targeted directly to skin by
topical applications, the goal is to interfere with environmental
oxidative insults, including sunlight, smoking and pollution.
Vitamin C serves as the major aqueous phase antioxidant in the skin.
It not only neutralizes reactive oxygen species destructive to the
skin, but also actively regenerates vitamin E. Vitamin E is the
major lipid phase antioxidant in skin and protects the fatty
components of skin, including cell membranes. Vitamin C protects the
aqueous components of skin, including tissue and cell fluids (Darr
et al., Acta Derm, 1996).
Vitamin
C is an Antioxidant
Vitamin C
(L-ascorbic acid) is a powerful antioxidant. Antioxidants protect
skin by neutralizing reactive oxygen species generated when skin is
exposed to sunlight, and which otherwise would destroy skin and its
components (Shindo et al., J Invest Derm, 1994). Antioxidants work
by neutralizing a series of oxygen molecular species, known as
oxygen free-radicals, which damage and destroy skin. Reactive oxygen
species are stimulated by ultraviolet light and also occur naturally
during normal metabolism in the oxygen atmosphere in which we live.
L-ascorbic acid neutralizes reactive oxygen species including
superoxide anion, singlet oxygen and hydroxyl radical (Halliwell and
Gutteridge, Arch of Biochem & Biophys, 1990).
Topical
Vitamin C Stimulates Collagen Growth
Vitamin C
stimulates collagen synthesis. In fact, it is the only antioxidant
that has been proven to increase collagen synthesis. Collagen is the
major structural protein of skin, and comprises 70% of its dry
weight. The continued synthesis of collagen is essential to maintain
healthy skin. Studies show that collagen decreases with intrinsic
aging and that photoaging accelerates this process.
In human skin
fibroblasts in culture, vitamin C (L-ascorbic acid) stimulates
collagen synthesis without affecting other protein synthesis
(Freiberger, H. et al., J Invest Derm, 1980). L-ascorbic acid is a
cofactor for two enzymes important in collagen synthesis: (1) prolyl
hydroxylase and (2) lysyl hydroxylase. Prolyl hydroxylase is
essential for producing a stable collagen molecule. Lysyl
hydroxylase is necessary for cross-linking one collagen molecule to
another collagen molecule; cross-linking is required for tissue
strength (Colven and Pinnell, Clinics in Derm, 1996). L-ascorbic
acid also serves as a transcription signal, relaying a critical
message to collagen genes, telling these genes to synthesize
collagen (Tajima and Pinnell, J Derm. Sci., 1996).
Topical
Vitamin C Protects Against and Reduces Harmful Effects of Sun in
Skin
Even the best
sunblock on the market today does not protect fully in the UVA
(320-400 nm) range. Antioxidants are, and presumably will continue
to be, effective adjuncts to other skin protective products. New
studies show that topical vitamin C (L-ascorbic acid) is an
excellent antioxidant for UVA and UVB protection, making it a useful
adjunct to (but not replacement for) sunscreens (Colven and Pinnell,
1996).
Because
topical vitamin C does not absorb light in the UVB/UVA range, it is
not a sunscreen. Topical vitamin C works in two ways: it both
protects skin against and reduces harmful effects caused by
sunlight. It is equally effective in both the UVB (290-320 nm) and
UVA bands (320-400 nm) (Darr et al, Br J Derm, 1992). Topical
vitamin C (L-ascorbic acid) exerts its effects by neutralizing
oxygen-free radicals produced when sunlight interacts with cell
membranes and other components of skin tissue.
Antioxidants Use A Different Mechanism To Protect
Skin
L-Ascorbic Acid Prevents UV Mutations
Mutated cells
cause skin cancer. L-ascorbic acid prevents UV mutations in skin
cells. Therefore, some scientists believe topical vitamin C may
prevent UV mutations that cause skin cancer.
UVA generates
reactive oxygen species that change DNA by breaking strands and
mutating cells. There are only four “letters” in the language of
DNA: G, C, A, and T, standing for the molecules guanine, cytosine,
adenine and thymine. Repeated millions of times in varying
combinations of pairs of C-G and A-T, they spell out control over
all the inheritable characteristics of an organism. UVA light
changes guanine into 8-oxoguanine, which may create a DNA mismatch;
guanine, when in the 8-oxoguanine state can pair with adenine,
rather than cytosine, creating a mutation.
The more
mutations, the more likely one is to develop skin cancer. It is
estimated that cells in the human body get 10,000 of these insults a
day, and are able to tolerate and repair the damage. However, when
the cells in the human body are subject to more of these insults in
one day (e.g., due to increased sun exposure unprotected from UVA
insults), they cannot repair themselves fast enough. L-ascorbic acid
prevents these UV mutations in skin cells (Stewart et al., J Invest
Derm, 1996).
Topical
Vitamin C Prevents UV Immunosuppression
Topical
vitamin C prevents UV immunosuppression. (Nakamura, T., et al., J
Invest Dermatol, 1997). This phenomenon, in which the activity of
the immune system is stifled following exposure to sunlight, occurs
in approximately one-third of individuals, on average. However, it
is found in over 90 percent of those who get skin cancers, both
melanoma and non-melanoma skin cancers (Granstein, R., Arch
Dermatol, 1995; Streilein, W., in Gilchrest, B., Photoprotection,
1995).
When skin is
immunosuppressed, it is paralyzed in its ability to respond to
sensitizers, such as poison ivy. For reasons that are not clear,
sunscreens only partially prevent UV immunosuppression. Studies show
that topical vitamin C prevents UV immunosuppression, specifically
the loss of contact hypersensitivity in animals exposed to UV
radiation and UVB-induced tolerance (Nakamura et al., J Invest
Dermatol, 1997). However, it is premature to infer that topical
vitamin C protects against skin cancer, because such studies have
not been done yet.
Topical
Vitamin C is an Anti-Inflammatory
Skin
inflammation, including that caused by inflammatory dermatoses,
phototrauma and carbon dioxide laser resurfacing is mediated by
reactive oxygen species. Vitamin C, an antioxidant normally found in
human skin, is depleted rapidly when skin is inflamed. Topical
vitamin C has been reported to alleviate ultraviolet
radiation-induced erythema on porcine skin (Darr et al., Br J Derm,
1992) and laser-induced postoperative erythema in human skin (Alster
and West, Dermatolog Surg, 1998).
Topical
Vitamin C Controls Inflammation and Promotes
Healing
Topical
vitamin C is capable of controlling the inflammatory response
associated with ultraviolet light (sunburn). Topical vitamin C is
protective even when it is applied after sun exposure (Darr et al.,
Br J Derm, 1992).
Topical
vitamin C also is helpful in speeding the healing process. It is
often recommended as a pre- and post-operative regimen for laser
resurfacing patients (Alster and West, 1998). Dermatologic surgeons
recommend using it as long as possible prior to laser resurfacing
and beginning again as early as fourteen days following surgery.
Topical vitamin C also has been used successfully to treat rosacea
patients, especially those tough patients who do not respond to
other therapies (Bergfeld and Pinnell, Dialogues in Dermatology,
AAD, 1996).
Topical
vitamin C serum (10% L-ascorbic acid) has been shown to decrease the
degree and duration of CO2 laser-induced postoperative erythema,
presumably because of its anti-inflammatory effect (Alster and West,
1998). Topical vitamin C serum (10% L-ascorbic acid) also has been
used successfully to improve the appearance of striae alba or mature
stretch marks (Ash et al., Dermatol Surg, 1998).
Topical
Vitamin C has a Reservoir Effect
Topical
vitamin C becomes an inherent part of the skin. It cannot be washed
or rubbed off. Testing shows that it is fully protective for as long
as three days after application (Darr et al., Br J Derm, 1992). This
is known as a reservoir effect.
back to
top
HOW
ULTRAVIOLET RADIATION AND OTHER ENVIRONMENTAL INSULTS AFFECT
SKIN
Skin is
the Body’s First Defense Against Environmental
Insults
Human skin is
constantly assaulted by environmental insults, including pollutants,
pesticides, herbicides, heat, cold, and most prominently, smoking
and sunlight. All of these insults generate reactive oxygen species,
which include but are not limited to, oxygen-free radicals. Reactive
oxygen species are a limited, but continually growing, family of
small, oxygen-based molecules that either contain an unpaired
electron or are capable of forming one. It is the process of
oxidation that can destroy body tissues. This is the same process
that causes cars to rust, and rubber tires to crack.
Skin is
the Body’s Largest Organ
Not only is
skin the body’s first line of defense against environmental insults,
it also is the body’s largest organ. An average size person’s skin
weighs six to seven pounds, and, if stretched out, would cover an
area of twenty square feet. Human skin consists of two layers: (1)
the epidermis, an outer, protective layer, which is about 0.1 mm
thick, and (2) the dermis, an inner, living layer, which is about 1
to 4 mm thick (or 10 to 40 times thicker than the epidermis). Each
layer has an important, yet specific, role in keeping skin
healthy.
The
Epidermis
The epidermis
is a paper thin, protective outer coating which contains several
layers of skin cells at varying stages of life. New cells form at
the base of the epidermis and slowly move upward, losing moisture
and flattening out as they go. By the time these cells reach the
skin’s surface, they are dead and flat, and are sloughed off to make
way for replacement cells. In addition to performing this important
cell renewal function, the epidermis serves as an environmental
barrier, preserving valuable moisture and protecting the body’s
inner cells and organs from germs and other harmful
invaders.
The
Dermis
Sometimes
referred to as the “true skin,” the dermis or internal layer
accounts for 90% of skin mass. It provides structural and
nutritional support to the epidermis. The dermis contains many of
the major components in the complex functioning of healthy skin.
Consisting of dense, irregular connective tissue, the dermis also
contains small blood vessels, sweat glands, sebaceous (oil) glands,
fibroblasts, and nerves. It also contains elastin, which gives the
skin flexibility and durability. Finally, it contains collagen, a
protein that contributes to the skin’s firmness and can be
considered the structural steel of skin. The Dermis
Naturally Contains Much Less L-Ascorbic Acid Than the
Epidermis The skin makes up about 9% of tissues, and gets
about the same percentage of vitamin C from that which is ingested.
However, the epidermis contains five times the level of L-ascorbic
acid found in the dermis (Shindo et al., J Invest Derm,
1994).
Ultraviolet Radiation and The Ultraviolet
Spectrum
Exposure to
ultraviolet radiation (UVR) is a well-documented health hazard. If
it were not for a multi-layered defensive system, humans would die
in the oxygen-rich environment in which they live. The ultraviolet
spectrum is divided into the following key regions, which are
measured in nanometers (nm), with each nanometer being one billionth
(10-9) of a meter: UVC (270 - 290 nm), UVB (290 - 320 nm), UVAII
(320 - 340 nm), and UVAI (340 - 400 nm).
The ozone
layer protects humans from damage against UVC rays, but not UVB and
UVA rays. Reactive oxygen species, including oxygen free radicals,
are generated by exposure of the skin to UV radiation. UVB rays are
known to cause burning. UVA rays are now known to cause photoaging
(Lavker et al., Photochem and Photobio, 1995; Lowe et al., J Invest
Dermatol, 1995).
UVB is
heaviest during the hours of 10:00 a.m. and 3:00 p.m. and also
during the summer. UVA is much more constant throughout the day and
also throughout the year. UVA also can penetrate glass, including
that of car, office and home windows; in contrast, UVB is blocked by
glass. Approximately two-thirds of the UVA spectrum is UVAI, or long
UVA. Compared to UVB, there is thirty times more UVA in the
ultraviolet spectrum.
What
Happens When Sun Shines on Skin
When sun
shines on skin, the epidermis absorbs the short (290-320 nm) UVB
rays. These generate oxygen-free radicals that can destroy and
mutate cells and even cause skin cancer. The longer (320-420 nm) UVA
(aging) rays go deep into the skin’s dermis, and even through skin.
These rays penetrate thirty to forty times deeper than UVB rays, and
also generate oxygen-free radicals. Oxygen-free radicals are like
indiscriminate bombs, destroying and/or mutating anything in their
way, including collagen, elastin, proteoglycan, cells and even
DNA.
Ultraviolet Radiation Destroys L-Ascorbic Acid in
Skin
When the skin
is exposed to ultraviolet light, measurements show that two-thirds
of the L-ascorbic acid in skin is destroyed. Ultraviolet light
generates reactive oxygen species that may damage skin constituents
including collagen, elastin, proteoglycan, as well as cell membranes
and nuclear constituents. In time, it is believed that these changes
may result in a breakdown in connective tissue. Visible signs of
this destruction encompass intrinsic aging and photoaging changes –
including wrinkles, solar lentigines (brown spots), actinic
keratoses – and possibly even skin cancers. Scientists believe that
L-ascorbic acid’s role as an antioxidant is essential in protecting
the skin from the oxidative damage produced by ultraviolet light
exposure, as well as the associated inflammatory
reaction.
UVA
Radiation May Cause Photoaging and Skin Cancer
Just recently,
a study co-authored by Duke University biophysicist, John D. Simon,
Ph.D., shows that UVA rays, a form of sunlight not blocked by most
products, may cause photoaging and skin cancer (Hanson and Simon,
Proc Natl Acad Sci USA, 1998). Researchers have long known
that sunlight can cause the skin to wrinkle and turn leathery. But
experts say the Simon study is the first to show why this happens –
and link it to UVA rays. Simon’s study shows that UVA sunlight is
absorbed by urocanic acid, a natural molecule made by the outermost
skin cells. The sunlight chemically changes urocanic acid and causes
it to create oxygen-free radicals within skin cells. These highly
reactive molecules damage cells by degrading collagen and elastin;
it is this degradation process that accelerates aging in skin.
(Hanson and Simon, Natl Acad Sci USA, 1998). Smoking Causes
Even More Wrinkles than Extensive Sun Exposure Cigarette smoking
also generates reactive oxygen species. Smoking has an even greater
effect on premature wrinkling than extensive sun exposure. Smoking
depletes L-ascorbic acid, resulting in lowered serum levels (Kadunce
et al., Ann of Int Med, 1991). The UVAI (340-400 nm) Long
Rays Can Cause Photoaging Damage Just recently, scientists
demonstrated that photoaging changes can be experimentally produced
in normal human skin by UVAI (340 -400 nm) or the long UVA rays.
(Lavker, R.M. et al., Photochemistry and Photobiology, 1995). Given
the structure of skin, dermatologists and photobiologists have long
hypothesized that the long UVA rays that penetrate the skin deepest
might be responsible for photoaging changes in skin, and now, it has
been proven. Only eight relatively small dosages of UVA are
necessary before changes are evident, and these changes are not even
prevented by using a sunscreen with a sun protection factor (SPF) of
22 (Lavker et al., J Am Acad Dermatol, 1995; Lowe et al., J Invest
Dermatol, 1995). Unfortunately, most currently-available sunscreens
typically don’t protect from UVAI insults.
UVA
Radiation May Play a Role in Melanoma Formulation
A recent study
has detected a correlation between the use of sunlamps or sunbeds
and the development of melanoma, especially in younger individuals
(Autier et al., Int. J. Cancer, 1994). In addition, PUVA
(ultraviolet A radiation plus oral methoxsalen) therapy is known to
increase the incidence of melanoma (Stern et al., N. Eng. J. Med.,
1997). UVA radiation also is known to cause DNA mutations in cell
culture (Nishigori et al., J Invest Dermatol, 1996) and melanoma in
fish (Setlow et al. Proc Natl Acad Sci USA, 1993). Three
international, well-controlled studies also have shown a higher
incidence of melanoma skin cancers in individuals using UVB
sunscreens (Wolf et al., J. Invest. Dermatol., 1996; Autier et al.,
Int J Cancer, 1995; Westerdahl et al., Melanoma Research, 1995).
These studies show that using a UVB sunscreen may cause an increase
in melanoma. Although several explanations are possible, it may be
that individuals stay out in the sun longer than they would
otherwise because they are not burning; without the signal to get
out of the sun, UVA damage continues. Such findings lend impetus to
the notion that excessive exposure to UVA through sunscreens and
changing sunbathing habits may be contributing to the spiraling
incidence of melanoma. Excessive Sun Exposure is the Most
Preventable Cause of Skin Cancer Over exposure to ultraviolet
light (from the sun and indoor tanning) is the greatest risk factor
for skin cancer. Ultraviolet radiation causes almost all cases of
basal and squamous cell skin cancer, and sun exposure is a major
cause of skin melanoma. Malignant melanoma also has been linked to
past sunburns and sun exposure at younger ages. Excessive sun
exposure in the first 15 years of life increases the risk for
melanoma threefold. Other possible causes of include genetic factors
and immune system deficiencies. For example, Caucasians are 20 times
more likely to than African-Americans to get malignant melanoma.
Melanoma risk increases ninefold for anyone who already has had one
melanoma.
back to
top
DERIVATIVES OF TOPICAL VITAMIN C
Not All
Preparations of Topical Vitamin C are Effective
Wanting to
offer so-called “vitamin C” products, many companies have used
derivatives of vitamin C, including ascorbyl palmitate and magnesium
ascorbyl phosphate. Derivatives are easier to stabilize, but they
are not L-ascorbic acid, which is the only form of vitamin C which
the body can use.
Figure 2
compares the L-ascorbic acid molecule with two common derivatives.
Note the differences in structure between the simple, sugar-like
L-ascorbic acid molecule and the more complex, but stable
derivatives.

Figure 2. A Comparison of the Chemical
Structure of the L-Ascorbic Acid Molecule with two Common
Derivatives of Vitamin C, Magnesium Ascorbyl Phosphate and Ascorbyl
Palmitate
Recent studies
indicate that vitamin C derivatives (e.g., ascorbyl palmitate,
magnesium ascorbyl phosphate) which commonly are found in many skin
care products do not perform in the same way as topical L-ascorbic
acid. Studies to date show that derivatives are either not absorbed
or not converted to L-ascorbic acid in high enough concentrations to
have an effect (Kameyama et al., J Am Acad Dermatol, 1996; Murad et
al., ASPRS, 1997).
Research shows
that percutaneous absorption of magnesium ascorbyl phosphorous is
limited (Kameyama et al., J Am Acad Dermatol, 1996). The
percutaneous absorption of ascorbyl palmitate has not been reported,
but might be expected to prefer a cream vehicle to skin and thus
remain outside, or on top of skin.
Biologic
activity of L-ascorbic acid and ascorbyl-6 palmitate also has been
measured in human skin fibroblast culture at dosages need to
stimulate collagen synthesis. Research showed that ascorbyl
palmitate killed human skin fibroblasts at physiologic
concentrations (100FM) by an unknown mechanism (Murad et al., 1997;
Perricone, J Geriatr Dermatol, 1997) and was ineffective when
compared to L-ascorbic acid against UV photoaging in mice (Bissett
et al., Photodermatol Photoimmunol Photomed.,1990).
back to
top
PERCUTANEOUS ABSORPTION OF L-ASCORBIC ACID VERSUS
DERIVATIVES
L-ascorbic
acid is an inherently unstable molecule, which is what makes it such
a good antioxidant (Darr et al., 1996). To overcome the instability
problem, many formulators use derivatives of vitamin C to provide
stable cosmetic formulations.
New scientific
evidence shows decisively that derivatives don’t increase skin
levels of vitamin C. They may get in, but they are not converted. In
contrast, L-ascorbic acid gets into skin. The key is to get a high
enough concentration of L-ascorbic acid into skin so that it can
have an effect, and still preserve its stability.
Study
1
Percutaneous Absorption Study Measuring Vitamin C Skin Levels
After Application

Recent studies
indicate that vitamin C derivatives (e.g., Ascorbyl palmitate,
magnesium ascorbyl phosphate) that are commonly found in many skin
care products, do not perform in the same way as topical L-ascorbic
acid. Studies to date show that derivatives either are not absorbed
or not converted to L-ascorbic acid in high enough
concentrations to have an effect.
back to
top
Study
2
Vitamin C Dose Response
New studies
show that a 20% concentration of L-ascorbic acid gets the maximum
amount of vitamin C into skin. These levels cannot be achieved by
diet and are pharmacological levels.

Our lifestyles
generate thousands of free radicals every day, which deplete levels
of vitamin C in the skin. By applying a precise formula of 20%
vitamin C, this assures that the skin has the maximum amount of
vitamin C at all times to help fight free radical
attack.
back to
top
EVALUATING TOPICAL VITAMIN C PRODUCTS
Topical
vitamin C is the latest addition to the skin care arsenal. Because
of the scientific studies showing how it affects skin, many other
copycat products have emerged, undoubtedly confusing the consumer.
But all vitamin C products are not created equally. So, how does one
evaluate a topical vitamin C product? In evaluating any
topical vitamin C skin care product, it is critical to ask the
following questions:
1. Is the
vitamin C in the form of L-ascorbic acid, the only true form of
vitamin C, and the only form the body can use?
2. If yes, is
the L-ascorbic acid at a low pH so that it penetrates skin and a
high enough concentration to have an effect?
3. Is the
preparation stable?
It took Dr.
Pinnell and the other Duke scientists over a decade to find a way to
stabilize L-ascorbic acid, and the initial preparation was stable
only in a laboratory environment. Since then, a stabilized form of
L-ascorbic acid at low pH for cosmetic use has been perfected which
incorporates the Duke-patented technology, and this formulation is
available only in SkinCeutical’s topical vitamin-C
products.
Therefore, if
the vitamin C is not in the form of L-ascorbic acid, another set of
questions must be asked:
1. What is the
scientific evidence that the product gets into skin?
2. If it gets
into skin, what is the evidence that the product is chemically
converted to L-ascorbic acid?
3. If it is
converted to L-ascorbic acid, what is the resultant concentration of
L-ascorbic acid?
What
Makes a Topical Vitamin C Product Effective?
To be
effective, a topical vitamin-C preparation should contain a
high concentration of L-ascorbic acid in
a stable, aqueous, acidic pH formulation. Why are
these factors important?
High
Concentration. Ten percent concentration appears to be
necessary for an optimal biological effect. Many cosmetic products
contain ascorbic acid or ascorbic acid derivatives, but most contain
concentrations less than 3%.
L-Ascorbic Acid. The only form of ascorbic acid
that can be used by the body is L-ascorbic acid. Ascorbic acid is
most commonly supplied as an equal mixture of D-ascorbic acid and
L-ascorbic acid. These forms of ascorbic acid are stereoisomers, but
the body uses only L-ascorbic acid. A concentration of 20% of the
commonly-supplied ascorbic acid would be necessary for an equivalent
biological effect.
Stability. Ascorbic acid is notoriously
difficult to stabilize, which has precluded its use as a general
cosmetic ingredient. The technology for allowing ascorbic acid to
enter skin is unusual.
Duke
University was awarded a patent precisely because it succeeded in
stabilizing L-ascorbic acid and getting it into skin, which is
something cosmetic companies had tried, but failed to do, for
decades.
What are
the Problems with Ascorbic Acid Derivatives, Esters and
Analogs?
In an attempt
to solve the problem of stability of ascorbic acid in cosmetics,
manufacturers have substituted derivatives, esters and analogs of
ascorbic acid. These include ascorbic acid sulphate, ascorbic acid
magnesium phosphate, ascorbyl stearate, ascorbyl palmitate, ascorbyl
dipalmitate, and magnesium ascorbyl phosphate. In order for any of
these compounds to work in skin, they must first get into skin
and then be chemically converted by cells in the skin
into L-ascorbic acid.
Getting
Compounds Into Skin. It is very hard to get chemicals into
the skin. Otherwise, we would use topical formulations to deliver
all of our drugs. Fortunately, the skin is very efficient at
protecting us from foreign substances. There is no direct evidence
that ascorbic acid derivatives enter the skin in appreciable
amounts. Moreover, it would be predicted that salts, such as
ascorbic acid sulphate and ascorbic acid magnesium phosphate, would
not enter because of their charged nature. Esters of ascorbic acid,
such as ascorbyl stearate or ascorbyl palmitate, might be expected
to chemically prefer the environment of a cream to the environment
of the skin and therefore not substantially enter
skin. Converting Derivatives to L-Ascorbic Acid. Even if
chemicals enter skin, they still must be altered to release the
L-ascorbic acid. This step requires enzymes which may or may not be
available in skin. In the best case, the process would not be
expected to be efficient. Large amounts of derivatives would have to
enter the skin and be converted to L-ascorbic acid to have the same
potency. For example, a molecule of ascorbyl palmitate weighs 2.4
times that of L-ascorbic acid. Even if ascorbyl palmitate entered
the skin efficiently and was converted to L-ascorbic acid, the
optimal concentration would be expected to be well in excess of 20%
ascorbyl palmitate.
How to
Find a True Topical Vitamin C Product
Look for
products that contain stable L-ascorbic acid at low pH and high
concentration. It is easy to determine whether a product is color
stable, just by looking at it over time; determining whether the
L-ascorbic acid is stable is more difficult, but possible, and
typically requires laboratory analysis. Color stability is a good
substitute indicator. Finally, remember that just because the label
says “vitamin C” doesn’t mean the product contains L-ascorbic
acid!
back to
top
SUMMARY
Recent
research indicates that topical vitamin C (L-ascorbic acid) is an
excellent antioxidant for skin protection and should be a useful
adjunct to sunscreens. Recent scientific findings also reveal that
it is the long UVAI (340-400 nm) rays which cause photoaging, and no
currently available sunscreen fully protects in this
range.
Topical
vitamin C both protects against and reduces harmful effects in skin
caused by sunlight in both the UVB and UVA bands (290-400 nm).
Although topical vitamin C does not absorb light in this range, and
hence, is not a sunscreen, vitamin C (L-ascorbic acid) exerts its
effects by neutralizing oxygen-free radicals, the highly-reactive
“bombs” produced when sunlight interacts with cell membranes and
other components of skin tissue.
Research
studies show that a topical vitamin C preparation at acid pH has
useful properties. It can be targeted directly into skin and provide
pharmacological levels of protection. It becomes an inherent part of
the skin, and is unaffected by bathing, exercise, clothing, or
makeup. It is believed that it will be useful for treating sunburn
and other inflammatory conditions, including acne, rosacea and
erythema. It is safe and should be attractive for use on adults and
children. Topical vitamin C is a useful adjunct to
sunscreens.
RECOMMENDATION
Based upon the
most recent research, two key steps are recommended to repair and
protect your skin from photoaging and other oxidative
damage:
1. Protect
your skin by using a product containing a high concentration of
L-ascorbic acid at a low pH so that it penetrates skin.
2. Follow with
a broad spectrum moisturizer which provides UVB, UVAII and UVAI
protection and has an SPF 15 or higher daily.
For the
strongest defense against photoaging, adopt a skin care regimen that
includes products which meet the above criteria.
back to
top
BIBLIOGRAPHY*
1. Pinnell,
S.R. and Madey, D.L. Topical Vitamin C in Skin Care. Aesthetics
Surgery Journal. November/December 1998 (in press). 2. Hanson,
K.M. and Simon, J.D. Epidermal Trans-uronic Acid and the
UV-A-Induced Photoaging of the Skin. Proc Natl Acad Sci USA.. 95:
10576 -10578, September 1998. 3. Alster, T.S. and West, T.B.
Effect of Topical Vitamin C on Postoperative CO2 Laser Resurfacing
Erythema. Dermatol Surg. 24: 331-334, 1998. 4. Ash, K.,
Lord, J. Zukowskin, M., and McDaniel, D. Comparison of Topical
Therapy for Striae Alba (20% Glycolic Acid/0.05% Tretinoin Versus
20% Glycolic Acid/10% L-Ascorbic Acid). Dermatol Surg. 24: 849-856,
1998. 5. Nakamura, T., Pinnell, S.R., Darr, D., Kurimoto,
I., Itami, S., Yoshikawa, K., and Streilein, J.W. Vitamin C
Abrogates the Deleterious Effects of UVB Radiation on Cutaneous
Immunity by a Mechanism That Does Not Depend on TNF- a. J Invest
Dermatol. 109: 20-24, 1997. 6. Lavker, R. and Kaidbey, K. The
Spectral Dependence for UVA-Induced Cumulative Damage in Human Skin.
J Invest Dermatol. 108: 17-21, 1997. 7. Stern, R., Nichols, K.,
and Väkevä, L. Malignant Melanoma in Patients Treated for Psoriasis
with Methoxsalen (Psoralen) and Ultraviolet A radiation (PUVA). N
Engl J Med. 336: 1041-5, 1997. 8. Murad, S., Yang, H.S., and
Pinnell, S.R., Topical Vitamin C. Scientific Program Presentation,
American Society of Plastic and Reconstructive Surgeons, 1997. 9.
Perricone, N.V. Topical Vitamin C Ester (Ascorbyl Palmitate). J
Geriatr Dermatol. 5(4): 1622-70, 1997. 10. Stewart, M.S.,
Cameron, G.S., and Pence, B.C. Antioxidant Nutrients Protect Against
UVB-Induced Oxidative Damage to DNA of Mouse Keratinocytes in
Culture. J Invest Dermatol 106: 1086-1089, 1996. 11. Stary, A.,
Robert, C., Sarasin, A. Deleterious Effects of Ultraviolet A
Radiation in Human Cells. Mutation Research. 383: 1-8, 1996. 12.
Nishigori, C., Yaroshi, D., Donawho, C., and Kripke, M. The Immune
System in Ultraviolet Carcinogenesis. J Invest Dermatol Symposium
Proceedings. 1: 143-146, 1996. 13. Darr, D. and Pinnell, S.R.
Reactive Oxygen Species and Antioxidant Protection in
Photodermatology. Sunscreens, 2nd edition, eds. Lowe/Shaath/Pathak.
Marcel Dekker, Inc., New York. 1996. 14. Levine, M.,
Conry-Cantilena, C., Wang, Y., Welch, R., Washko, P., Dhariwal, K.
Park, H. LaZarev, A., Graumlich, J., King, J., and Cantilena, L.
Vitamin C Pharmacokinetics in Healthy Volunteers: Evidence for a
Recommended Dietary Allowance. Proc Natl Acad Sci. 93: 3704-3709,
1996. 15. Darr, D., Colven, R.M., and Pinnell, S.R. Topical
Vitamin C. In Vitamin C in Health and Disease, eds. Packer, L.
1996. 16. Darr, D., Dunstan, S., Faust, H., and Pinnell, S.R.
Effectiveness of Antioxidants (Vitamin C and E) With and Without
Sunscreens as Topical Photoprotectants. Acta Dermato-Venereologica,
76: 264-268, 1996. 17. Colven, R.M. and Pinnell, S.R. Topical
Vitamin C in Aging, in Clinics in Dermatology, Skin Aging, and
Photoaging, ed. Antonio Ledo. 14: 227-234, 1996. 18. Tajima, S.
and Pinnell, S.R. Ascorbic acid preferentially enhances type I and
III collagen gene transcription in human skin fibroblasts. J
Dermatol Sci. 11:250-253, 1996. 19. Bergfeld, W. and Pinnell,
S.R. Dr. Bergfeld interviews Dr. Pinnell regarding Topical Vitamin C
(19.11 minutes). Dialogues in Dermatology, AAD, 38:1, April,
1996. 20. Kameyama, K., Sakai, C., Kondoh, S., Yonemoto, K. ,
Nishiyama, S. , Tagawa, M., Murata, T., Ohuma, T., Quigley, J.,
Dorsky, A., Bucks, D., and Blanock, K. Inhibitory Effect of
Magnesium L-ascorbyl-2 phosphate (VC-PMG) on Melanogenesis in Vitro
and in Vivo. J Am Acad Dermatol. 34: 29-33, 1996. 21. Wolf, P.,
Müllegger, R., Ouehenberger, F., and Karl, H. Phenotypic Markers,
Sun Related Factors, and Sunscreen Use in Patients with Cutaneous
Melanoma: An Austrian Case Control Study. J Invest Dermatol. 106:
809, 1996. 22. Lavker, R. M. , Veres, D.A., Irwin, C.J., and
Kaidbey, K.H. Quantitative Assessment of Cumulative Damage From
Repetitive Exposures to Suberythemogenic Doses of UVA in Human Skin.
Photochemistry and Photobiology. 62: 2, 348-352, 1995. 23. Lowe,
N., Meyers, D., Weider, J., Luftman, D. , Borget, T., Lehman, M.,
Johnson, A., and Scott, I. Low Doses of Repetitive Ultraviolet A
Induce Morphologic Changes in Human Skin. J Invest Dermatol 105:
739-743. 1995. 24. Granstein, R. Evidence That Sunscreens Prevent
UV Radiation-Induced Immunosuppression in Humans. Arch Dermatol.
131: 1201-1204, 1995.Streilen, J.W. UVB Susceptibility: Possible
Relationship to Photoaging and Photocarcinogenesis, in Photodamage,
ed. Gilchrest, B. A., 5: 68-80, Cambridge, MA: Blackwell Science,
1995.
25. Lavker, R., Veres, D., Irwin, C., and
Kaidbey, K., Quantitative Assessment of Cumulative Damage From
Repetitive Exposures to Suberythemogenic Doses of UVA in Human Skin.
Photochemistry and Photobiology. 62: 2, 348-352, 1995. 26.
Lowe, N., Meyers, D., Weider, J., Luftman, D., Borget, T., Lehman,
M., Johnson, A. and Scott, I. Low Doses of Repetitive Ultraviolet A
Induce Morphologic Changes in Human Skin. J Invest Dermatol. 105:
739-743, 1995. 27. Lavker, R., Gerberick, F., Veres, D., Irwin,
C., and Kaidbey, K. Cumulative Effects From Repeated Exposure to
Suberythemal doses of UVB and UVA in Human Skin. J Am Acad Dermatol.
32: 53-62, 1995. 28. Pinnell, S.R. Vitamina C Tópica. Revista de
Cosmiatria & Medicina Esthética. 3:4, 1995. 29. What’s New:
Topical Vitamin C Diminishes Wrinkles, Signs Of Photoaging.
Geriatrics. 50: 11, 23, 1995. 30. Nakamura, T., Pinnell, S.R.,
and Streilein, J.W. Antioxidants Can Reverse The Deleterious Effects
Of Ultraviolet (UVB) Radiation On Cutaneous Immunity. J Invest
Dermatol. 104: 600, 1995. 31. Autier, P., Dore, J., Schifflers,
E., Cesarini, J., Bollarerts, A., Koelmel, K.F., Gefellerr, O.,
Liabeuf, A., Lejuene, F. Lienard, D., Joarlett, M., Chemaly, P., and
Kleeberg, U.R. Melanoma and Use of Sunscreens: An EROTC (European
Organization for Research and Treatment of Cancer) Study in Germany,
Belgium and France. Int J Cancer. 61: 749-755, 1995. 32.
Westerdahl, J., Olsson, H., Masback, A., Ingvar, C., and Jonsson, N.
Is the Use of Sunscreens a Risk Factor for Malignant Melanoma?
Melanoma Research. 5: 59-65, 1995. 33. Autier, P., Doré, J.,
Lejeune, F., Koelmel,K., Geffeler, O., Hille, P., Cesarini, J.,
Lienard, D., Liabeuf, A. , Joarlette, M., Chemaly, P., Hakim, K.,
Koeln, A. and Kleeberg, U. Cutaneous Malignant Melanoma and Exposure
to Sunlamps or Sunbeds: An EORTC Multicenter Case-Control Study in
Belgium, France and Germany. Int J Cancer, 58: 809-813, 1994. 34.
Phillips, Charlotte L., Combs, S.B. and Pinnell, S.R. Effects Of
Ascorbic Acid On Proliferation And Collagen Synthesis In Relation To
The Donor Age Of Human Dermal Fibroblasts. J Invest. Dermatol., 103:
228-232. 1994. 35. Wolf, P., Donawho, C.K., and Kripke, M. L.
Effect of Sunscreens on UV Radiation-Induced Enhancement of Melanoma
Growth in Mice. J Natl Cancer Inst. 86: 2, 99-105, 1994. 36.
Shindo, Y., Witt, E., Han, D., and Packer, L. Dose-Response Effects
of Acute Ultraviolet Irradiatation on Antioxidants and Molecular
Markers of Oxidation in Murine Epidermis and Dermis, J Invest
Dermatol, 102: 470-475, 1994. 37. Wolf, Peter, Donawho, Cherrie
K., and Kripke, Margaret L. Effect of Sunscreens on UV
Radiation-Induced Enhancement of Melanoma Growth in Mice. J Natl
Cancer Inst., 86: 2, 99-105, 1994 38. Setlow, R.B., Grist, E.,
Thompson, K. and Woodhead, A.D. Wavelengths Effective in Induction
of Malignant Melamona. Proc Natl Acad Sci USA. 90: 6666-6670,
1993. 39. Darr, D., Combs, S., and Pinnell, S.R. Ascorbic Acid
and Collagen Synthesis: Rethinking a Role for Lipid Peroxidation.
Arch Biochem Biophys. 307: 331-335, 1993. 40. Halperin, E.C.,
Gaspar, L., Darr, D., Pinnell, S.R. A Double-Blind, Randomized
Prospective Trial to Evaluate Topical Vitamin C Solution for the
Prevention of Radiation Dermatitis. Intl J Rad Onc, 26: 413-416,
1993. 41. Darr, D., Combs, S., Dunstan, S., Manning T. and
Pinnell, S.R. Topical Vitamin C protects porcine skin from
radiation-induced damage. Br. J. Derm., 127: 247-253, 1992. 42.
Phillips, C.L., Tajima, S. and Pinnell, S.R. Ascorbic Acid and
Transforming Growth Factor-b1 Increase Collagen Biosynthesis Via
Different Mechanisms: Coordinate Regulation of Proa1(I) and
Proa1(III) Collagens. Arch Biochem Biophys., 295: 397-403,
1992. 43. Kadunce, D.P., Burr, R. Gress, R., Kanner, R., Lyon,
J.L., Zone, J.J. Cigarette Smoking: Risk Factor for Premature Facial
Wrinkling. Annals of Int Med., 114: 10: 840-844, 1991. 44.
Bissett, D.L, Chatterjee, R., Hannon, D.P. Photoprotective Effect of
Superoxide-Scavenging Antioxidants Against Ultraviolet
Radiation-Induced Chronic Skin Damage in the Hairless Mouse.
Photodermatol Photoimmunol Photomed., 7: 56-62, 1990. 45.
Halliwell, H. and Gutteridge, J.M.C. The Antioxidants of Human
Extracellular Fluids. Arch Biochem Biophys. 280: 1-8, 1990. 46.
Kaplan, M.D., Moloney, S.J., Troy, W.R., Dickens, M.S. and Pinnell,
S.R. A New Stabilized Ascorbic Acid Solution: Percutaneous
Absorption And Effect On Relative Collagen Synthesis. Cutaneous
Aging and Cosmetic Dermatology, 1:115-121, 1989. 47. Pinnell,
S.R. and Murad, S. Vitamin C and Collagen Metabolism in Cutaneous
Aging, eds. Kligman, A.M. and Takase, Y., University of Tokyo Press,
275-292, 1988. 48. Geesin, J.C., Darr, D., Kauffman, R., Murad,
S. and Pinnell, S.R. Ascorbic Acid Specifically Increases Type I and
Type III Procollagen Production Messenger RNA Levels in Human Dermal
Fibroblasts. J Invest Dermatol., 90: 420-424, 1988. 49. Pinnell,
S.R., Murad, S. And Darr, D. Induction of collagen synthesis by
ascorbic acid: A possible mechanism. Arch Dermatol., 123: 1684-1686,
1987. 50. Geesin, J.C., Murad, S. and Pinnell, S.R. Ascorbic Acid
Stimulates Collagen Production Without Altering Intracellular
Degradation in Cultured Human Skin Fibroblasts. Biochem Biophys
Acta, 886: 272-274, 1986. 51. Pinnell, S.R. Regulation Of
Collagen Biosynthesis By Ascorbic Acid: A Review. Yale J Biol Med.,
58: 553-559, 1985. 52. Murad, S., Tajima, S., Reynolds, G.,
Sivarajah, A. and Pinnell, S.R. Collagen Synthesis In Cultured Human
Skin Fibroblasts: Effects Of Ascorbic Acid Analogs. J Invest
Dermatol., 81:158-162, 1983. 53. Tajima, S. and Pinnell, S.R.
Regulation Of Collagen Synthesis by Ascorbic Acid: Ascorbic Acid
Increases Type I Procollagen mRNA. Biochem Biophys. 101: 868-875,
1981. 54. Freiberger, H. Grove, G., Sivarajah, A. and
Pinnell, S.R. Procollagen I Synthesis in Human Skin Fibroblast:
Effects of Culture Conditions on Biosynthesis. J Invest Dermatol,
75: 425-430, 1980.
-
### -
back to
top
L-Ascorbic Acid is an ingredient in the
following SkinCeuticals Products
Serum 15  Serum 10
Eye Gel
Skin Firming Cream
Eye Cream
|